[응력과 변형률]
가공공정에서 소재가 변형되는 상태는 인장, 압축, 전단변형 중에서 어느 하나이거나 또는 이들 변형이 복합된 상태로 볼 수 있다. 소재의 기본적인 변형거동은 인장시험을 통하여 파악할 수 있다. 다음 그림에 나타낸 것과 같은 인장시편을 시험기에 걸어 잡아당기면 표점거리 l0는 점차 늘어나게 된다.

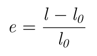
이때 소재가 받는 공학적 변형률(engineering strain)또는 공칭변형률(nominal strain)은 다음과 같이 정의된다.

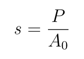
또한, 소재가 받는 작용하중 P를 변형전 단면적 A0 로 나눈 값을 공학적 응력(engineering stress) 또는 공칭응력(nominal stress)이라고 한다.

변형의 정도가 심하여 단면적이 많이 변하는 경우에는 다음과 같이 작용하중을 변형중단면적 A 로 나눈 값인 진응력(true stress)을 사용하는 것이 보다 타당하다.

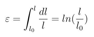
마찬가지 이유로 전체 변형을 증분형태의 인장변형이 연속된 것이라고 보아 다음과 같이 진변형률(true strain) 또는 대수변형률(logarithmic strain) ε을 정의하여 사용한다.

진변형률 ε과 공학적 변형률 e 사이에는 ε = In(1 + e)의 관계가 있다. 변형이 작을 경우에는 두 변형률값에 차이가 없으므로 어떤 변형률을 사용해도 무방하나 변형이 커질수록 두 값의 차이는 급격히 커지므로, 성형공정에서처럼 변형률이 클 경우에는 진변형률을 사용하여야 한다.
[탄성변형거동과 그 한계]
인장시편은 항복점(yield point) Y에 도달하기까지 선형 탄성거동(linear elastic behavior)을 보이며, 작용하중에 비례하여 늘어난다. 항복점에 도달하기 전에 하중이 제거되면시편은 원래 형상으로 되돌아오며, 선형 탄성거동구간에서 응력과 변형률의 관계는 비례상수인 탄성계수(elastic modulus 또는 Young's modulus)를 사용하여 다음과 같이 후크(Hooke)의 법칙으로 나타낼 수 있다.
σ = Eε
시편이 길이방향으로 늘어나면 횡방향(즉, 단면방향)으로는 줄어든다. 이때 길이방향에대한 횡방향 변형률의 비의 절대값을 푸아송비(Poisson's ratio) ν 라고 한다. 각종 재료들의 E 와 ν 값을 다음 표에 나타내었다.

※ E, Y, UTS의 범위 중 최저값과 연신율의 범위 중 최고값은 순금속에 해당함. 표준단위 MPa를 영미단위 psi로 환산할 때는 145를 곱함. 즉, 100MPa=14,500 psi.
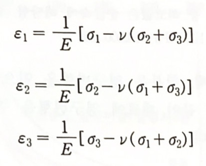
소재의 변형이 수반되는 대부분의 가공공정에서는단순인장이나 압축시험의 경우들과는 달리 소재가 일반적으로 삼축응력상태(triaxialstress state)에 있게 된다. 이러한 응력상태에서 탄성변형거동은 다음과 같이 탄성계수와푸아송비를 사용하여 일반화된 후크(Hooke)의 법칙으로 나타낼 수 있다.

항복점 이후에서는 소재가 소성변형 또는 영구변형(permanent deformation)되기 시작하며 응력과 변형률 사이의 관계도 더 이상 선형적이지 않다. 대부분의 재료에서는 항복점 전후로 응력-변형률곡선의 기울기 변화가 작기 때문에 항복점을 구하기가 쉽지 않다.흔히 사용되는 실용적인 방법으로는 다음 그림과 같이 변형률 축으로 0.2%, 즉 0.002만큼 곡선을 이동시켜 탄성영역에서의 기울기 연장선과 곡선이 만나는 점의 응력 값을 항복응력으로 삼으며, 이를 내력(proof stress)이라고 한다. 0.2%가 아닌 다른 값을 취할 경우에는 항복응력을 논할 때 반드시 명시해야 한다(곡선이동법).

구조물이나 하중을 지지하는 부재를 설계할 때, 항복은 영구변형을 일으키므로 바람직하지 않다. 그러나 굽힘, 단조, 압연, 판재성형과 같이 재료에 영구변형을 주고자 하는 금속가공공정에서는 항복, 즉 소성변형이 필수적이다.
[연성]
하중의 증가와 더불어 시편의 길이는 계속 늘어나고 단면적은 균일하게 줄어든다. 최초의 항복점보다 높은 수준의 응력을 받던 시편에서 하중을 제거하면, 응력곡선은 원래의 탄성기울기에 평행하게 직선으로 내려온다. 하중을 더욱 증가시키면 마침내 응력은 어떤 최대점에 도달한 후 감소하기 시작한다. 공학적 응력으로 표시한 최대응력을 재료의 극한인장강도(UTS : ultimate tensile strength)라고 하며, 보통은 인장강도라고 한다.
응력이 UTS 점을 지나면 상기 그림에 보인 것과 같이 네킹(necking)이 생기기 시작하며 시편은 더 이상 균일하게 늘어나지 않는다. 즉, 시편의 단면적 변화가 길이를 따라 균일하지 않고 국부적으로 집중되어 목처럼 잘룩한 부위가 생긴다. 네킹이 생긴 뒤에는 공학적응력이 점차적으로 감소하다가, 마침내 시편은 목 부위에서 파단된다. 최종응력값(그림에서 X로 표시)을 재료의 파단응력(fracture stress)이라고 한다.
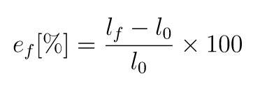
시편이 파단할 때의 공학적 변형률을 연신율(elongation)이라고 하며, 이는 연성의 척도가 된다. 연신율은 파단된 시편을 다시 맞춘 후 표점거리를 측정한 값, 즉 총연신량으로부터 구할 수 있다. lf를 파단시 표점거리라 할 때, 연신율 ef의 정의는 다음과 같다.

연신율은 표점거리에 따라 달라질 수 있다. 여러 쌍의 표점을 표시한 후 인장시험을 하고 파단 후 각 표점간의 연신율을 구해보면, 표점거리가 짧을수록 연신율이 큼을 알 수 있다.

목 부위에 가장 근접한 표점간에서의 연신율이 물론 가장 크지만, 표점거리가 늘어남에 따라 연신율이 0에 접근하는 것은 아니다. 왜냐하면 시편은 파단되기 전에 이미 영구변형상태로 일정량만큼 균일하게 신장되었기 때문이다. 따라서, 연신율을 제시할 때는 표점거리도 같이 명시하여야 한다.
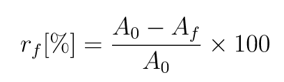
연성(ductility)을 나타내는 두 번째 척도는 단면감소율(reduction of area) rf로 파단면의 단면적을 Af라 할 때, 다음과 같이 정의된다.

고온에서의 유리막대와 같이 어떤 재료는 파단시 단면이 거의 점으로 줄어들 때까지 변형하여 단면감소율이 100%에 가까운 경우도 있다. 대부분의 재료는 연신율이 대략 10~60%, 단면감소율은 20~90% 정도이다. 열가소성 플라스틱(thermoplastic)이나 초소성재료(superplastic material)는 훨씬 큰 연성을 보인다. 실온에서의 유리나 분필과 같은 취성재료(brittle material)는 연성이 매우 작거나 없다.
'전공 기본 > 기계재료' 카테고리의 다른 글
| 재료의 가공특성 (4) - 응력-변형률곡선 (0) | 2022.09.10 |
|---|---|
| 재료의 가공특성 (3) - 항복조건 (0) | 2022.09.10 |
| 재료의 가공특성 (1) (0) | 2022.09.04 |
| 기계재료 (6) - 세라믹재료 (0) | 2022.09.03 |
| 기계재료 (5) - 플라스틱 (0) | 2022.09.02 |
댓글