플라스틱은 일반적으로 단위체(monomers)를 변형하거나 합성시켜서 이루어진 고분자재료(polymers)로 구성되는 재료를 말한다. 플라스틱(plastics)이라는 말의 어원은 성형(formor mold)를 의미하는 그리스어 plastikos에서 유래되었으며 비교적 쉽게 기계가공, 주조, 성형접합되어 다양한 모양으로 만들어질 수 있다. 또한 플라스틱은 가볍고 성형 후 부가적인 표면처리가 거의 불필요한데, 이는 금속재료와 비교해 볼 때 큰 장점이 된다.
[구조]
(1) 폴리머 길이(polymer length)
폴리머 체인의 길이는 다른 요소들보다는 무엇보다 폴리머들간의 상호작용에 매우 큰 영향을 받게 되며 일반적으로 다음과 같이 표현된다.

여기서 A는 반복되는 폴리머 유닛이고, n은 폴리머 체인에서 반복되는 개수이다. n은 매우 큰 값을 가질 수 있는데, 일부 폴리머에서는 수백에서 수천 정도의 값을 가지기도 한다. 즉, 체인의 길이는 파라미터 n을 알게 되면 얻을 수 있다. 그리고 n 값을 직접 구하기 보다는 분자량을 측정해서 실험적으로 구하게 되는데, 분자량과 폴리머 체인의 길이는 매우 밀접한 관계가 있다.
(2) 분자량(molecular weight)
폴리머 사슬 내 단위체들의 분자량의 합은 폴리머의 분자량이 된다. 폴리머의 분자량이클수록 분자사슬의 길이는 길다. 중합반응은 임의적인 현상이므로, 폴리머 사슬은 임의의길이로 만들어지지만 사슬길이의 분포는 분포곡선으로 표현할 수 있다. 이러한 이유로 폴리머의 분자량은 통계적으로 평균으로 표시한다. 분자량의 분포에서 관찰되는 분산을 분자량분포(MWD:molecular weight distribution)라고 한다.
(3) 용융지수(melt index)
폴리머의 물성치와 관련된 흐름에 관한 중요한 특성은 멜트 인덱스(melt index) 테스트라는 간단한 테스트를 통해서 알 수 있다. 이 테스트는 분자량이나 분자량분포(MWD) 등을 구하는 데 유용하게 쓰이고 있다. 용융지수는 폴리머를 규정할 때 사용되는 매우 일반적인 파라미터이기도 하다. 용융지수는 폴리머의 기본적인 물성치는 아니지만 폴리머의중요한 흐름특성을 표현하는 간편한 방법이라 할 수 있다. 용융지수가 크다는 것은 폴리머의 사슬이 짧아서 흐름이 잘 일어난다는 것을 나타낸다. 즉, 분자량이 낮음을 의미한다.반대로, 작은 용융지수는 높은 분자량을 의미한다.
(4) 비결정 및 결정성 수지 (amorphous and crystalline)
비결정성과 결정성은 보통 폴리머의 얽힘(entanglement)에 대한 무작위 (randomness)나규칙성(regularity)으로 설명되어진다. "형상이 없는"이라는 의미인 amorphous 라는 어원처럼 비결정성 수지의 경우 폴리머 사슬들간 또는 하나의 사슬에서의 얽힘이 무작위로 이루어져있다. 하지만 어떤 폴리머들은 규칙적이고 반복되는 구조로 이루어져 있다. 이 경우이러한 부분을 결정 (crystals)이라 하고, 이런 폴리머를 결정성(crystalline) 폴리머라 한다.

[특성]
플라스틱의 많은 성질은 주로 폴리머 분자의 종류, 분자의 형상과 크기, 폴리머구조를이루는 배열 등에 따라 결정된다. 폴리머 분자는 그 거대한 크기로 인해 다른 유기화합물과 구분된다. 플라스틱은 폴리머 분자와 첨가제로 구성된다. 폴리머는 긴사슬 분자(long-chain molecule)로서, 대분자(macromolecule) 또는 거대분자(giant molecule)라고도부르는데, 여러 개의 단위체(monomer)들을 결합 및 교차결합하는 중합(polymerization)이라는 과정으로 만들어진다.
(1) 중합(polymerization)
폴리머 안에 있는 단위체는 중합반응(polymerization reaction)이라는 화학반응에 의해반복단위로 연결되면서 길고 큰 분자를 형성한다. 기본적으로 응축중합과 첨가중합으로나눌 수 있다. 물이 응축되는 현상 때문에 응축중합(condensation polymerization)이라고불리는 이 과정에서는 두 가지 단위체들간의 결합으로 폴리머가 만들어진다. 이때 고분자는 단계적으로 성장하므로 단계성장(step-growth) 또는 단계반응(step-reaction)중합이라고도 불린다. 첨가중합(addition polymerization)은 사슬성장(chain-growth) 또는 사슬반응(chain-reaction) 중합으로도 알려져 있다. 반응부산물 없이 수초 이내의 빠른 반응속도로 긴 사슬이 생기게되는 반응으로 응축중합 때보다 훨씬 빠르다.
● 중합도(DP : degree of polymerization)
중합도는 단위체의 분자량에 대한 폴리머의 분자량, 또는 평균분자당 단위체의 수로 정의된다. 폴리머 사슬의 크기를 나타내는 데 이용하기도 한다. 중합도가 크면 폴리머의 유동저항이 커서 마치 유체의 점도가 증가하는 영향을 나타낸다.
● 결합(bonding)
중합반응으로 단위체가 분자사슬을 만들면 분자 안의 원자들간에는 1차결합인 공유결합이 이루어진다. 서로 다른 사슬이나 같은 사슬이 겹쳐진 부분에서의 결합은 반 데르 발스결합, 수소결합, 이온결합 등과 같은 2차결합으로 결합된다. 2차결합은 공유결합의 수십~수백분의 일 정도로 약하다.
[기계적 물성치]
[1] 고체상태에서의 기계적 물성치
탄성영역 내에서의 변형에서는 외력이 제거되면 원래의 모양이나 길이로 되돌아오게 된다. 이는 처음대로 돌아가게하는 잠재에너지(potential energy)로 볼 수 있다. 즉, 탄성변형에서는 에너지가 언제나 회복됨을 알 수 있다. 응력과 변형률의 관계는 다음 식과 같이선형적으로 나타낼 수 있다.

여기서 F는 힘, A 는 단면적, σ는 응력, ε는 변형률, 그리고 E는 탄성계수이다. 응력-변형률의 그래프가 선형적이라면, 이는 기계적 스프링 등에 적용되는 다음 식과 같은후크의 법칙(Hooke's law)이 적용된다고 볼 수 있다.
F = kx
이때, F는 힘, x는 변위, 그리고 k는 스프링 상수로 표현되는 비례계수이다. 다음 그림은 선형과 비선형 변형에 따른 응력-변형률곡선을 나타내고 있다.

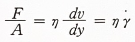
[2] 유체상태에서의 기계적 물성치
유체(liquid)상태에서의 플라스틱의 거동은 점성거동으로 표현될 수 있다. 다음 그림에서처럼 고정판과 힘 F를 받는 이동판 사이에 유체가 있다고 한다면, 용융플라스틱의 점성으로 인해 용융플라스틱에 가해지는 전단응력은 속도구배(velocity gradient, dv/dy)를유발시킨다.

또한 이 속도구배는 전단변형률속도(γ')로 표현할 수 있으므로 그 관계는 다음 식과 같다.

[열가소성 플라스틱]
대부분의 결정성 플라스틱의 경우 결합에너지가 높아서 분자가 거의 회전이나 이동을하지 못하는데, 공급되는 에너지가 이 결합에너지보다 크게 되면 분자들은 자유롭게 회전또는 이동을 할 수 있게 된다. 이때의 온도가 바로 용융온도 Tm (crystalline melt tem -perature 또는 crystalline melting point)이다. 그리고 이때의 폴리머 상태는 자유롭게 흐를 수 있으므로 액체 (liquid)로 가정한다. 플라스틱을 성형한 후에 온도를 다시 낮추면 원래의 강도와 경도를 회복하는 가역과정을 보이기도 하는데, 이와 같은 거동을 보이는 폴리머를 열가소성 플라스틱(thermoplastics)이라고 하며, 아크릴, 셀룰로오스, 나일론, PVC등이 이에 속한다.
[열경화성 플라스틱]
열경화성 플라스틱(thermosetting plastics 또는 thermosets)은 강력한 공유결합을 하고있는 하나의 거대분자구조로 다리 결합으로 되어 있다. 이러한 구조로 인하여 중합과정에서 완전한 망이 만들어지고 제품의 모양이 영구히 결정된다. 이런 경화반응은 비가역적이다. 에폭시, 폴리에스터, 우레탄 같은 열경화성 플라스틱은 실온에서 경화한다. 열경화성플라스틱은 유리전이온도가 확실하지 않다. 열경화성 플라스틱은 일반적으로 열가소성 플라스틱보다 기계적, 열적, 화학적 성질과 수치안정성이 우수하다는 특징이 있다.
[강화플라스틱]
일반 플라스틱에 비해 탁월한 성능을 요구하는 재료의 필요성이 생기면서 강화플라스틱(복합재료)이 생겨났다. 복합재료는 상이한 두 가지 이상의 재료가 상호 용해되지 않으면서 조합된 상태로 이루어지는데, 보통 기계적, 구조적, 물리적 성질이 우수하다. 강화플라스틱은 섬유(fiber)와 플라스틱 모재(matrix)로 구성된다. 강화플라스틱에 사용되는 섬유는강하고, 강성이 높기 때문에 강화플라스틱은 비강도와 비강성 등이 우수하고, 더 나아가높은 피로저항, 인성, 크리프저항을 갖는다.
[1] 강화 섬유
(1) 유리섬유
유리섬유는 가장 폭넓게 사용되면서 저렴한 대표적인 강화섬유이다. 유리섬유를 강화시킨 강화플라스틱을 GFRP(glass fiber reinforced plastics)라고 한다. 유리섬유는 많이 사용되는 보로실리케이트 유리인 E 형과 비싸지만 높은 강도와 강성을 갖는 마그네시아 알루미나 - 실리케이트 유리인 S 형이 있다.
(2) 흑연(graphite) 섬유
흑연섬유는 대부분 값이 싼 원료인 PAN(plolyacrylonitrile)이라는 유기체를 열분해하여만들어지는데 유리섬유보다 비싸지만, 저밀도, 고강도, 고강성을 동시에 갖고 있다. 탄소와흑연은 보통 같은 뜻으로 사용되기도 하지만, 그 차이는 열분해시의 온도와 원료의 순도에 따라 다르다. 탄소섬유는 탄소함량이 80~95% 정도임에 반해 흑연섬유는 보통 99%이상이다.
(3) 아라미드(aramid)섬유
아라미드 섬유는 강화섬유 중에서 가장 인성이 강하고, 비강도가 높다. 이 재료는 파괴되기 전에 약간의 소성변형을 겪으므로 취성을 갖는 섬유들에 비해서 높은 인성을 갖는다.그러나 아라미드섬유는 흡습성이 있으며, 이로 인해 성질이 저하되고, 습열웅력(hygrothermal stress)을 고려해야 하므로 용도에 제한이 있다.
(4) 보론(boron)섬유
보론섬유는 텅스텐섬유에 보론을 용착시킨 것으로 인장 및 압축에 대해 고강도, 고강성을 지니고 고온저항이 높다. 그러나 텅스텐을 사용하므로 밀도가 높고 가격이 비싸다는단점이 있다.
[2] 강화플라스틱의 성질
섬유강화 플라스틱의 성질은 강화재료의 종류, 형상, 방향과 섬유의 길이 및 강화재료의체적비 [%]에 따라 다르다. 그리고 일반적으로 이들의 성질은 시간과 온도에 따라 크게영향을 받는다. 섬유강화재는 복합재의 물리적 및 기타 성질에도 영향을 준다. 섬유강화플라스틱에서는 섬유와 플라스틱 모재간의 접착력이 매우 중요한 요소인데, 그 이유는 섬유-모재간의 경계면에서 하중이 전달되기 때문이다. 그러므로 접착이 불량하면 섬유가 끌려나오거나, 특히 악조건하에서 사용되는 구조물에서는 박리(delamination) 현상이 야기된다.
'전공 기본 > 기계재료' 카테고리의 다른 글
| 재료의 가공특성 (1) (0) | 2022.09.04 |
|---|---|
| 기계재료 (6) - 세라믹재료 (0) | 2022.09.03 |
| 기계재료 (4) - 비철금속재료 - Mg 합금, Ni 합금, 저융점금속 합금 (0) | 2022.09.01 |
| 기계재료 (4) - 비철금속재료 - Al 합금 (0) | 2022.09.01 |
| 기계재료 (4) - 비철금속재료 - Cu 합금 (0) | 2022.08.30 |
댓글