주조시스템에서 라이저(riser)는 용융금속이 주형의 내부에서 응고되면서 수축하는 공간을 보충해주기 위한 용탕의 저장소이다. 이때 라이저가 제역할을 충실히 수행하기 위해서는 주물이 응고하기 전에 먼저 응고되어서는 안되는데, 이를 위해서 우리는 주물이 응고하는 데 걸리는 시간을 예측할 수 있어야 한다. 더욱이 주조시스템에서 라이저의 위치를 결정하기 위해서는 주형 벽면으로부터 임의의 거리까지 응고하는 데 걸리는 시간을 계산하는 것이 필요하다.
용융금속으로부터 방출된 열은 주형벽면을 통해 대기 중으로 발산된다. 용융금속의 냉각과 응고과정에서 나오는 열은 여러 개의 성질이 서로 다른 층을 통해 빠져 나온다. 임의의 순간에 이러한 층들 속에서의 온도분포는 대략 다음 그림과 같다.

그림에서 전체적인 응고과정을 지배하는 열저항충은 액체금속, 응고된 금속, 금속주형 경계, 주형, 대기등으로 분류되며, 이들은 각각 1에서 5까지 번호가 부여된다. 주물의 형상이 복잡하거나 합금의 응고인 경우, 또는 재료 특성(thermal property)의 온도 의존성이 고려되는 경우에는 옹고과정의 해석은 매우 복잡하다. 다음에 연결되는 열전달해석에서 우리는 몇 가지 실제적인 경우에 대한 순수금속의 응고과정을 고찰할 것이다. 그러한 과정에서 문제를 단순화하기 위해 그림에서 제시한 다섯 가지 열저항의 일부를 무시하는 가정을 취한다.
[1] 단열 주형 속의 대형 주물의 응고
사형주조에서와 같이 단열성이 좋은 주형 안의 대형 주물의 응고과정에서 대부분의 열저항은 주형으로부터 기인한다. 그러므로 상기 그림에서 2번 영역의 열저항만을 고려하여 응고시간을 계산하는 것이 이러한 경우 적절한 근사법이라고 할 수 있다.
다음 그림에서 주형 경계면 A - B를 생각하자.

초기온도가 θ0 인 대형 주형은 두께가 x 방향으로 무한대인 것으로 가정된다. t=0 에서 온도 θp인 용탕이 주형 속에 주입된다.이때 주형 경계면과 접하는 금속은 순식간에 응고되는 것으로 가정한다. 즉, 주형경계면의 온도는 t=0에서 순간적으로 θf(금속의 어는점)로 올라가며, 응고가 끝날 때까지 θf가 유지된다.
이러한 경우에 연속적인 시간 t에서 주형 내부의 온도분포는 (x 방향 1차원 열전도를 고려할 때) 다음과 같이 주어진다.

여기서 θx(t) 는 시간 t일 때 주형벽면으로부터의 거리 x인 점의 온도이며, α 는 주형재료의 열확산계수(thermal diffusivity)로 정의되는 양으로 k/ρc (여기서 k = 열전도계수 ρ=밀도, c=주형재료의 비열)이다. 그리고 erf(z)는 오차함수(error function)라 하며다음과 같은 수렴급수로 주어진다.

또는 적분식으로 다시 쓰면 다음과 같다.

식 [Eq.3]을 미분하면

이다. 이제 임의의 시간 t일 때 주형경계면에 수직한 방향으로 흐르는 열유속(rate of heat flow)은

로 주어진다. 여기서 A는 주형-금속경계의 면적(대략 주물의 표면적)이다. 식 [Eq.1] 과 [Eq.4]를 사용하여 다음 식을 구한다.

임의의 시간 t0 동안에 주형 경계면을 통해 빠져나간 열의 총합은 다음과 같다.

다음으로 용융금속이 응고되기 위해서 방출해야 할 열을 계산하자. 응고잠열을 L, 비열을 cm 그리고 밀도를 ρm 이라 할 때, 방출해야 할 열은

여기서 V는 주물의 체적이다. 그러므로 식 [Eq.7]과 [Eq.8]로부터 응고시간 ts를 구할 수 있다.

즉,

여기서 γ는

이다.
지금까지의 해석은 주형 - 금속경계면 A - B가 평면인 경우에 대한 것이며, 이는 실제적인 산업현장에서는 자주 접할 수 있는 상황이 아니므로 이보다 좀더 복잡한 형상의 주물에 대한 응고시간을 예측하는 것이 필요하다. 주물 형상이 복잡한 경우에는 정확한 계산을 거치지 않고 기본적인 경계면의 특징을 관찰한 후 평면경계면에 대해 해석한 결과가 실제적인 응고시간 ts와 비교해 과대하게 계산되었는지, 혹은 너무 작게 계산했는지를 판단하는 것이다. 이러한 경계면의 특징을 관찰하기 위해서 다음 세 가지 종류의 주물주형 경계면을 고려하기로 한다.

즉, (a) 볼록한 경계면, (b) 평면경계면(이론적인 해석의 대상), (c) 오목한 경계면 등이다.
그림 (a)에서 열유동은 평면에서 보다 좀더 확산하는 형태이며, 결과적으로 냉각속도는 그림 (b)의 평면형상보다 큰 값을 가진다. 그러므로 이 경우에 대하여, 평면형상으로 간주하여 해석적으로 구한 응고시간은 실제적인 응고시간에 비해 과대하게 계산된 것이다. 이와 비슷한 방법으로, 그림 (c)에서 열유동은 수렴하는 형태이며, 결과적으로 냉각속도는 그림 (b)보다 작다. 따라서, 계산된 응고시간은 실제적인 응고시간에 비하여 너무 작은 값이다.
이번에는 몇 가지 기본적인 주물의 형상에 대해서 응고시간을 정량적으로 구해보자. 먼저 2개의 무차원 파라미터(nondimensional parameter)를 정의한다. 즉,


여기서

위에서 정의한 무차원 파라미터 β, γ 를 사용하여 식 [Eq.9] 을 다시 쓰면 다음과 같다.

무한히 긴 원통(cylinder)에 대하여, 이와 비슷한 식은 다음과 같다.

그리고 구(sphere)에 대한 식은 다음과 같다.

[2] 주형-금속경계의 열저항이 지배적인 경우의 응고
영구주형주조나 다이캐스팅과 같은 주조공정에서는 주형-금속경계의 열저항이 열전달에 막대한 영향을 미친다. 이번에는 주형-금속간 접촉저항이 가장 지배적인 경우의 응고과정에 대해 고찰하고자 한다(아래 그림의 3번 영역).

이러한 경우의 온도분포는 과열(superheat)이 없다고 가정하면 다음 그림과 같다.

1차원 열전달문제를 가정할 때, 경계면을 통한 열유속은 다음과 같다.

여기서 hf는 경계에서의 열전달계수(film heat transfer coefficient), A는 경계면의 면적이다. 주형벽면으로부터 응고경계면까지의 거리를 δ(t)라 하면
방출열유속 =

이다. 그러므로 식 [Eq.15]와 [Eq.16]의 우변을 등호로 연결하면 다음과 같다.

초기값을 δ=0 (t=0 일 때)로 하고, 위의 식을 적분하면

이다. 주물의 응고시 방출되는 총열(total heat)은 식 [Eq.8]에서 θp, 대신 θf 를 넣음으로써

이다. 응고시간 ts 동안 주형-금속경계면을 통해 빠지는 열은

이다. 그러므로 응고시간 ts는 다음과 같이 구해진다.

식 [Eq.19] 은 다이캐스팅이나 영구주형주조에서 쓰이는 중금속 주형 속의 작고 얇은 부품의 주물공정에서 응고시간을 예측하는 데 유용하다.
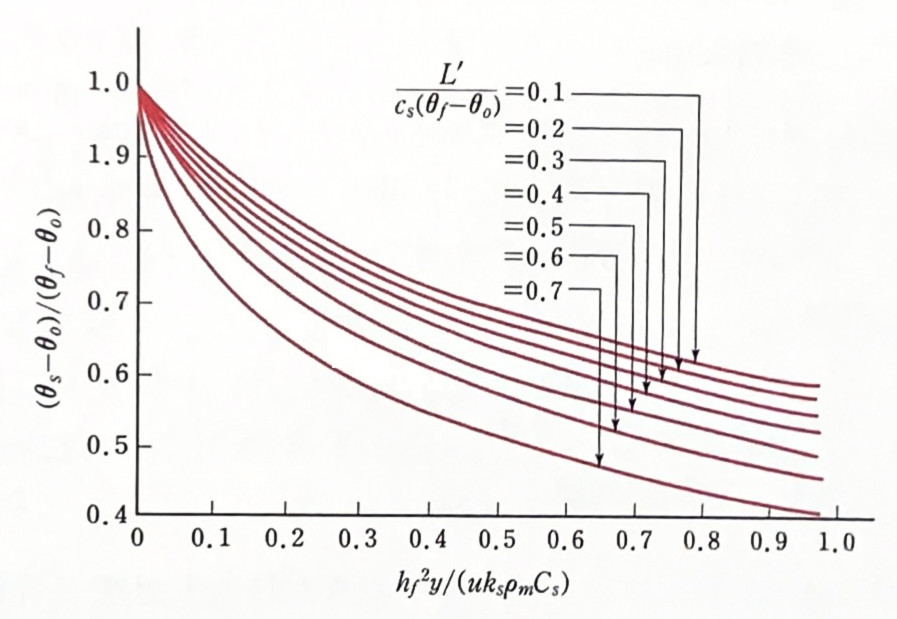
[3] 연속주조에서의 냉각
연속주조에서는 응고시간의 예측과 열전달의 계산이 매우 중요하다. 이 공정에서는 라이저를 사용할 수 없으며, 수행되는 주형의 한쪽으로 용융금속이 연속적으로 공급되는 동시에 주형의 다른 한쪽으로 주물을 연속적으로 끌어당긴다. 다음 그림은 연속주조공정을 대략적으로 나타낸 그림이다.

이러한 경우에 대한 열전달과정은 다음 3개의 무차원 파라미터에 의해 편리하게 계산할 수 있다. 즉,

여기서 hf는 주형-주물경계면의 박막 열전달계수(film heat transfer coefficient)이며, y는 주형 입구에서의 거리이며, u는 주물을 끌어당기는 속도, θ0 는 수행되는 주형의 온도, δ는 주물의 응고된 표면두께 L'=L+cm(δp - δf) 이고, 나머지 기호는 이전에 정의된 것과 같다. 다음 그림 (a), (b, (c)는 무차원 파라미터와 관련된 결과를 나타내었다.



이 그림들을 사용하여 주물의 주어진 인발속도(withdrawal rate)에 대한 최소한의 주형길이, 주물의 표면두께, 그리고 냉각수의 최대허용 온도상승을 초과하지 않는 범위에서의 냉각수의 최소유량 등의 연속주조와 관련된 중요한 사항들을 예측할 수 있다.
[4] 라이저 설계 및 배치
앞서 제시한 열전달해석으로부터 응고시간은 주로 주물의 체적에 대한 표면적의 비율 A/V에 의해 결정됨을 알 수 있다. 표면적 A는 열에너지가 방출되는 속도와 비례하고, 체적 V는 주물이 함유하고 있는 열에너지와 비례하기 때문이다. 이러한 정보는 주물이 완전히 응고될 때까지 라이저가 응고되지 않도록 설계하는 데 활용된다. 그러나 주물의 응고시에 라이저로부터 필요한 용탕의 양에 관한 정보는 오직 용탕이 부어진 온도로부터 응고시에 수축하는 부분을 보충하기 위한 용도로만 사용된다. 금속의 종류에 따라 수축률은 2.5~7.5% 정도이다. 그러므로 응고시간을 지연시키기 위해서 대용량의 라이저를 사용하는 것은 경제적이지 못한 방법이다. 라이저는 냉각률이 주물의 냉각률보다 느리면서 주물의 수축을 보충할 수 있는 가능한 최소한의 부피를 갖도록 설계되어야 한다.
A/V 의 비율이 큰 주물의 경우에는 단순히 냉각률만을 고려하여 결정한 라이저보다 대용량의 라이저를 사용해야 된다. 이는 다음의 예제에서 명백히 설명된다.
치수 25cm×25cm×0.25cm의 강판(steel plate)이 있다고 하자. 이 주물의 A/V 비율은 다음과 같다.

이때, 한 변이 1.25 cm인 정육면체 라이저의 A/V비율은 다음과 같다.

그러므로 라이저는 주물보다 냉각률이 매우 느린 것이 확인되었다. 강의 응고시 체적감소율은 3%이다. 그러므로 라이저에 필요한 최소한의 체적은 다음과 같다.
0.03 × 25 × 25 × 0.25cm3 = 4.69cm3
위에서 제시한 라이저의 체적은 겨우 1.95cm3이다. 그러므로 더욱 대용량의 라이저가 요구되는 상황이다.
주어진 라이저의 형상에 대해서 라이저의 치수는 최소한의 A/V 비율이 되면서 주물의 응고 수축을 보충하기 위한 최소한의 체적이 되도록 선택되어야 한다. 우리는 여기서 라이저로부터 주형으로의 용탕의 흐름은 오직 응고의 초기과정에서만 발생하는 사실을 주지해야 한다. 따라서, 라이저의 수축을 보충하기 위한 최소한의 체적은 주물의 응고수축량의 약 3배정도가 될 필요가 있다.
'E — Engineering & Optimization > [subject] 기계공작법' 카테고리의 다른 글
| 주조공정 - 주조공정의 종류 (0) | 2022.12.24 |
|---|---|
| 주조공정 - 주물재료의 용융 (0) | 2022.10.23 |
| 주조공정 - 모형 및 주형 (0) | 2022.10.23 |
| 주조공정 - 용탕의 유동 (0) | 2022.10.10 |
| 주조공정 - 개요 (0) | 2022.10.03 |
댓글